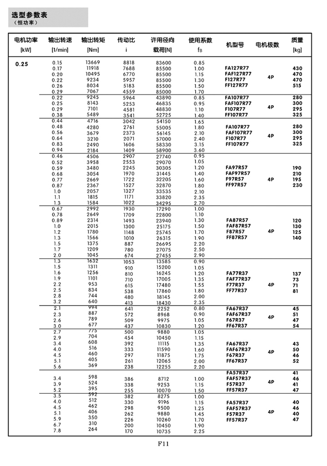
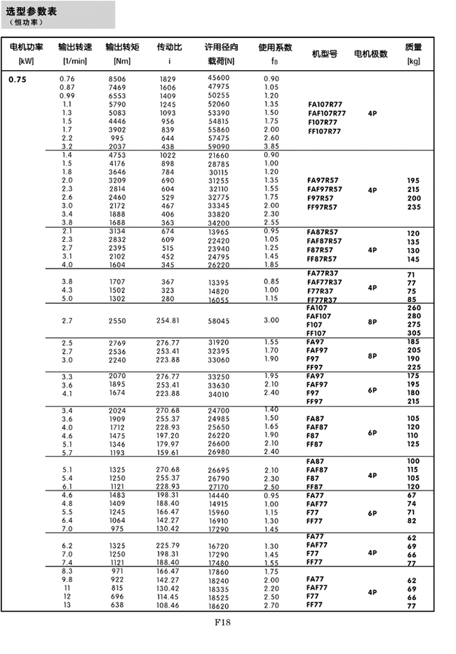
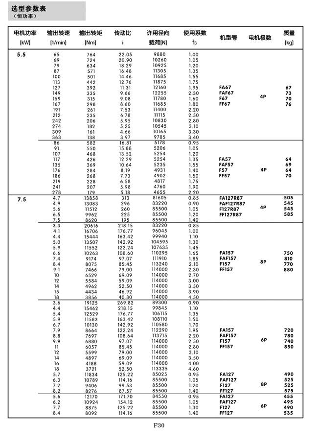
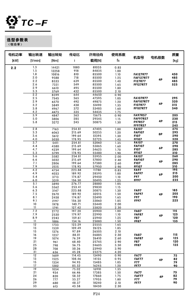
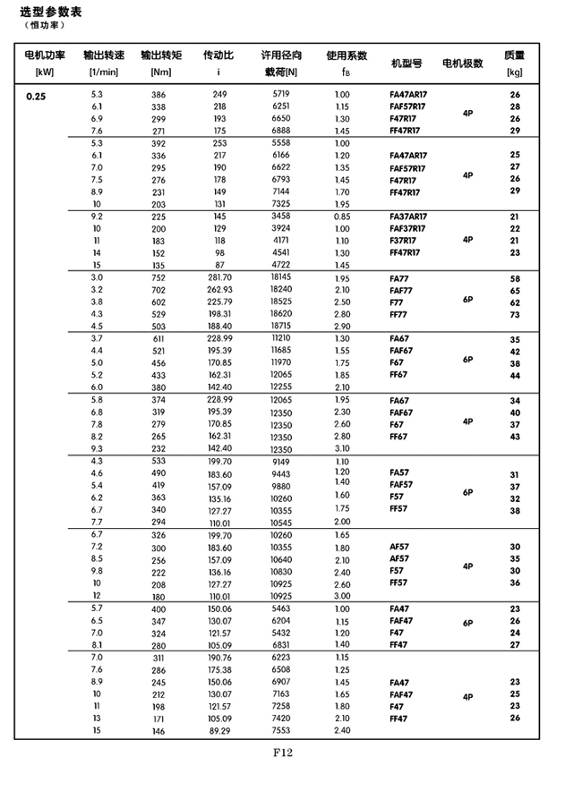
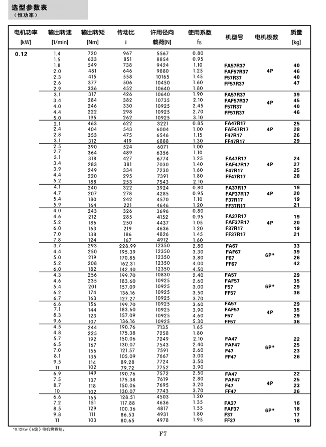
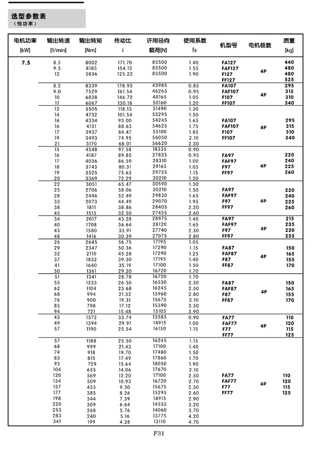
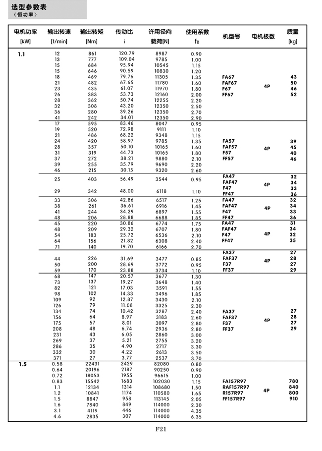
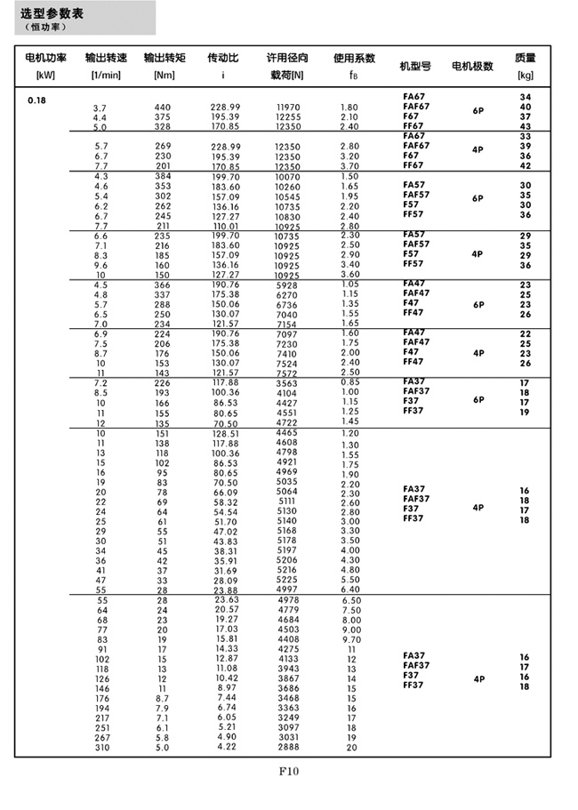
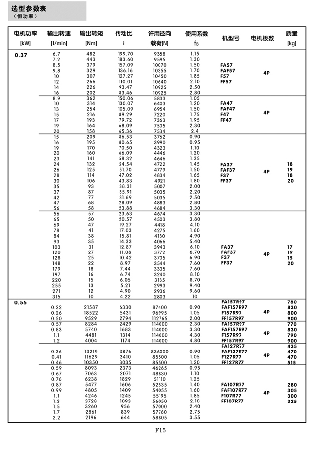
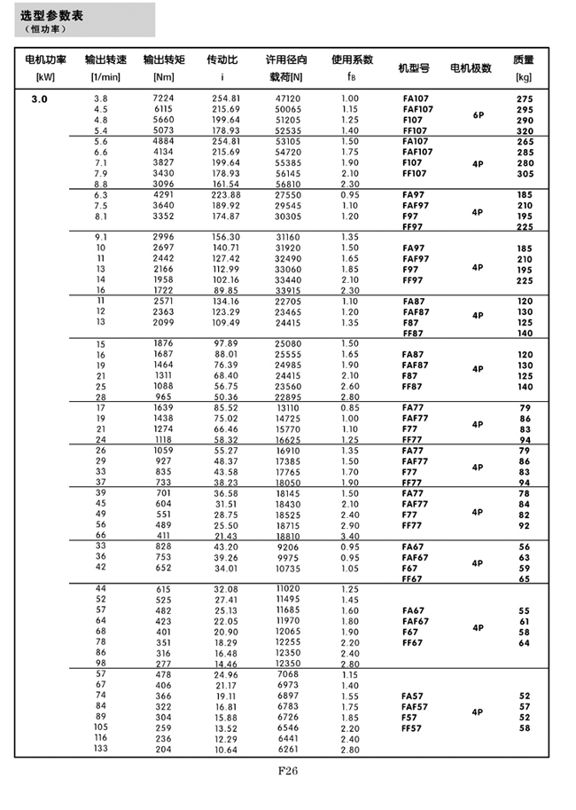
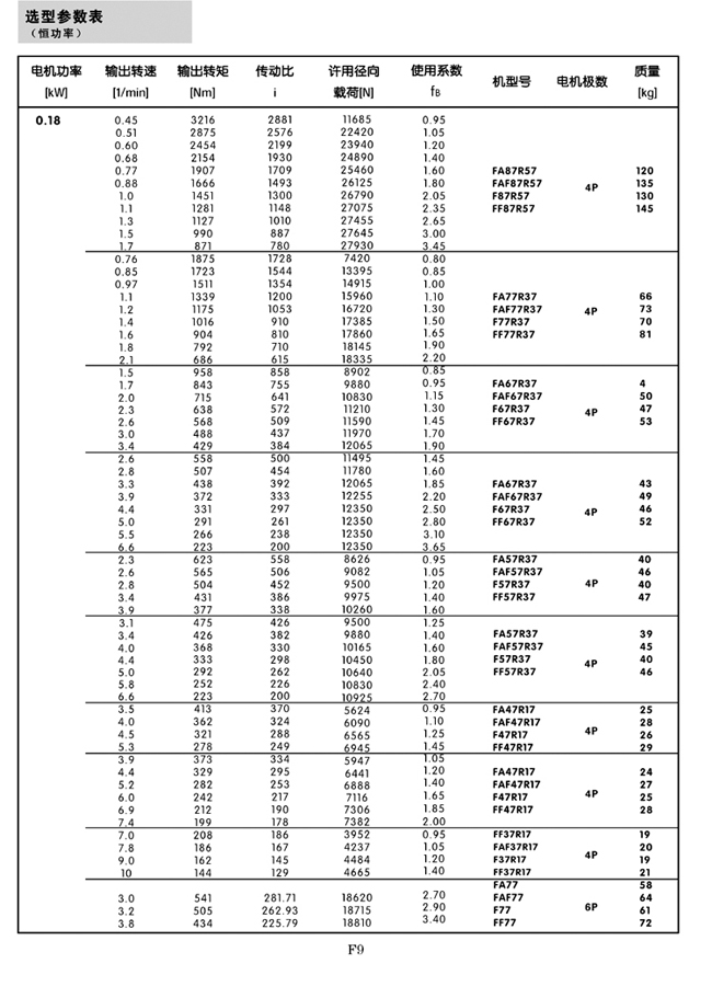
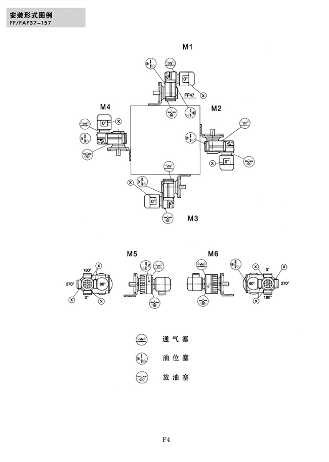
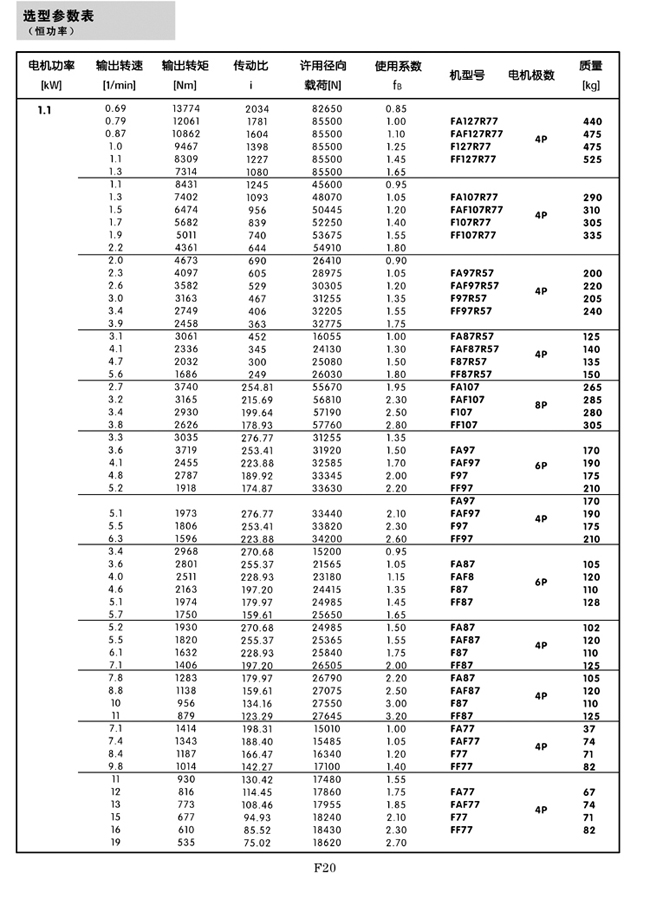
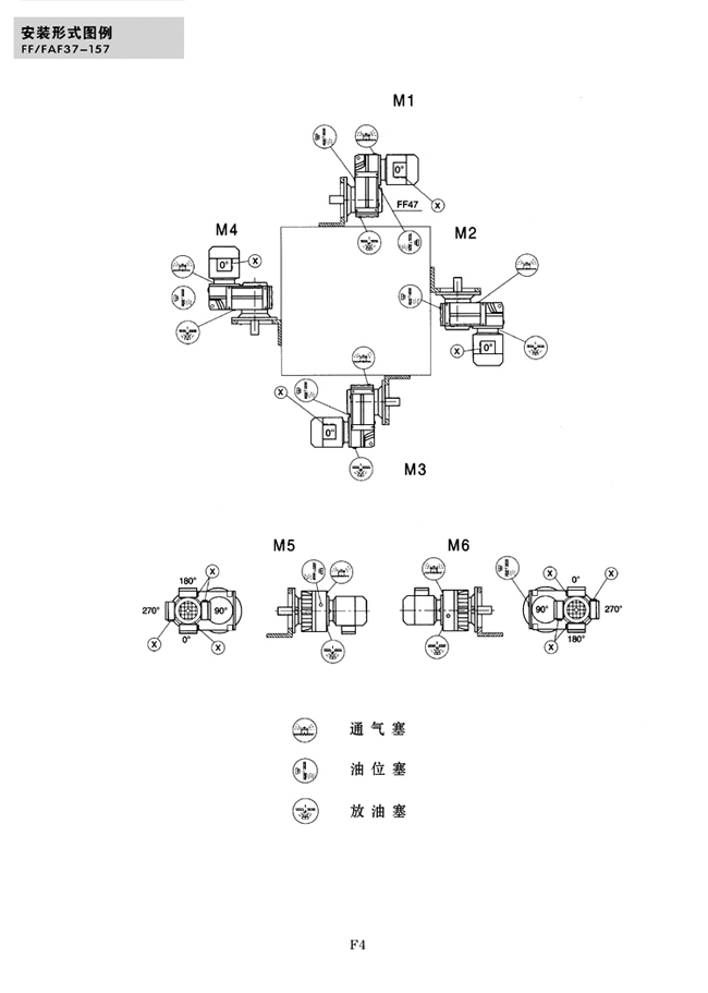
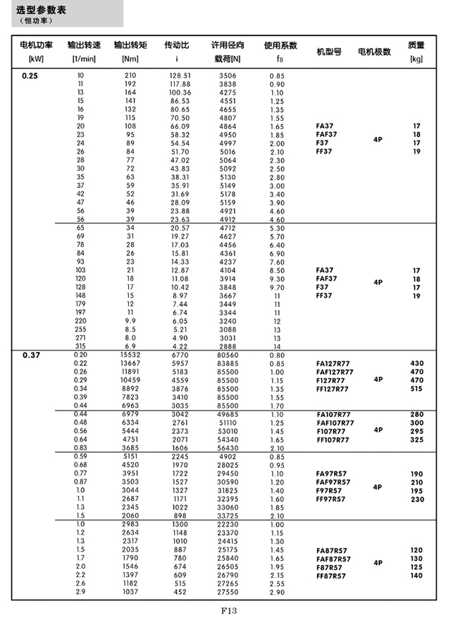
產品介紹產品圖紙
產品編號:12316275214
產品名稱:P系列平行軸斜齒輪減速電機
產品類別:斜齒輪減速電機
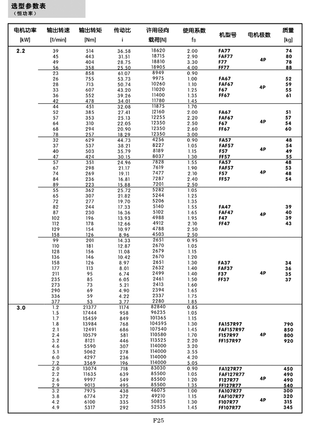
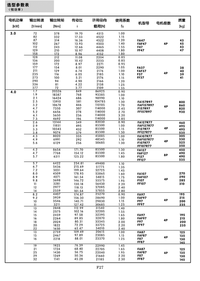
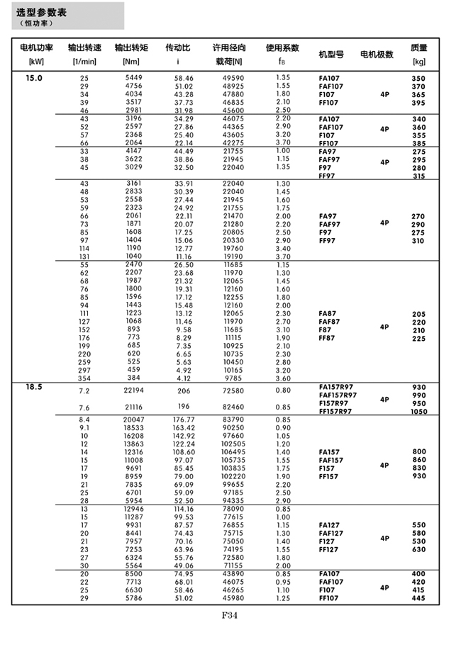
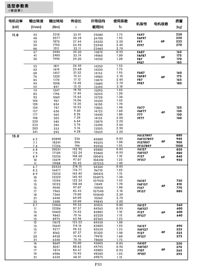
產品編號:12316275214
產品名稱:P系列平行軸斜齒輪減速電機
產品類別:斜齒輪減速電機


